Dog Co Ownership Contract Template

Embarking on the journey of dog co-ownership can be an incredibly rewarding experience, offering shared responsibilities and the joy of a canine companion. Whether you are co-owning with a breeder, a family member, or a friend, establishing clear guidelines from the outset is paramount. This is where a robust dog co ownership contract template becomes an indispensable tool, laying down the groundwork for a successful partnership and ensuring the well-being of your beloved dog.

Many people enter into these arrangements with the best intentions, fueled by a mutual love for animals. However, without a formal agreement, even the strongest bonds can be strained by misunderstandings regarding finances, healthcare decisions, or even simple daily routines. Unforeseen circumstances can arise, and without a predefined structure, resolving disputes can become emotionally taxing and complicated for everyone involved.

This article aims to guide you through the intricacies of dog co-ownership, highlighting why a comprehensive contract is not just a formality but a critical foundation for a harmonious relationship. We’ll explore what co-ownership entails, the potential pitfalls of informal agreements, and the essential elements that should be included in any legally sound document to protect all parties and, most importantly, the dog.

Understanding Dog Co-Ownership and Why a Contract is Crucial

Dog co-ownership refers to an arrangement where two or more parties share the legal and practical responsibilities of owning a single dog. This setup is common in various scenarios. Breeders often use co-ownership agreements to place promising puppies in loving homes while retaining breeding rights, ensuring the continuation of their lines without overcrowding their own kennels. Alternatively, friends or family members might opt for co-ownership to share the costs, care, and companionship of a pet, especially if their individual circumstances make full ownership challenging.

While the concept of sharing a pet can seem idyllic, the reality often involves complex logistics and significant decisions. Who pays for vet bills? Where does the dog primarily live? Who makes choices about training, diet, or potential breeding? These questions, if left unanswered, can quickly escalate into disagreements, causing stress for the humans and instability for the dog.

It is human nature to assume that goodwill and mutual respect will prevail. However, life is unpredictable. Relationships can change, financial situations can shift, and priorities can diverge. What started as an amicable arrangement can turn sour without clear, agreed-upon terms.

The Importance of a Formal Agreement

A formal dog co-ownership contract serves as a protective shield for all parties involved. It transforms abstract understandings into concrete, enforceable terms, eliminating ambiguity and fostering transparency. Verbal agreements, no matter how sincere, are notoriously difficult to prove or enforce in a dispute, often leading to protracted arguments and bitterness.

By investing the time to draft a detailed contract upfront, you are proactively addressing potential issues before they become problems. This foresight ensures that everyone involved has a shared understanding of their rights and obligations from day one. It provides a roadmap for various scenarios, from routine care to emergency situations, ensuring the dog’s welfare is always the top priority.

Moreover, a written agreement outlines a clear process for conflict resolution. Should a disagreement arise, instead of resorting to emotional arguments, parties can refer back to the contract, which should include clauses for mediation or arbitration. This structured approach helps in finding a fair resolution, minimizing stress and preserving relationships.

Ultimately, a well-crafted co-ownership contract is an act of responsible pet ownership. It safeguards the dog’s stability and ensures consistent care, while also protecting the financial and emotional investments of the co-owners. It provides peace of mind, allowing everyone to focus on the joy and companionship that a dog brings, rather than worrying about potential disputes.

What to Include in Your Dog Co-Ownership Contract

Creating a comprehensive co-ownership contract requires careful consideration of every aspect of the dog’s life and the relationship between the co-owners. The goal is to anticipate potential points of contention and provide clear guidelines for resolution, ensuring that the agreement is thorough and leaves little room for misinterpretation. This proactive approach is key to a successful and long-lasting co-ownership arrangement.

The most robust agreements leave little to chance, covering all foreseeable aspects of the dog’s life, from its daily care to long-term health and potential breeding endeavors. It’s an opportunity for all parties to discuss their expectations openly and to formalize these discussions into a binding document that serves as a living guide for their partnership.

Here are some critical points to consider when drafting your dog co ownership contract template:

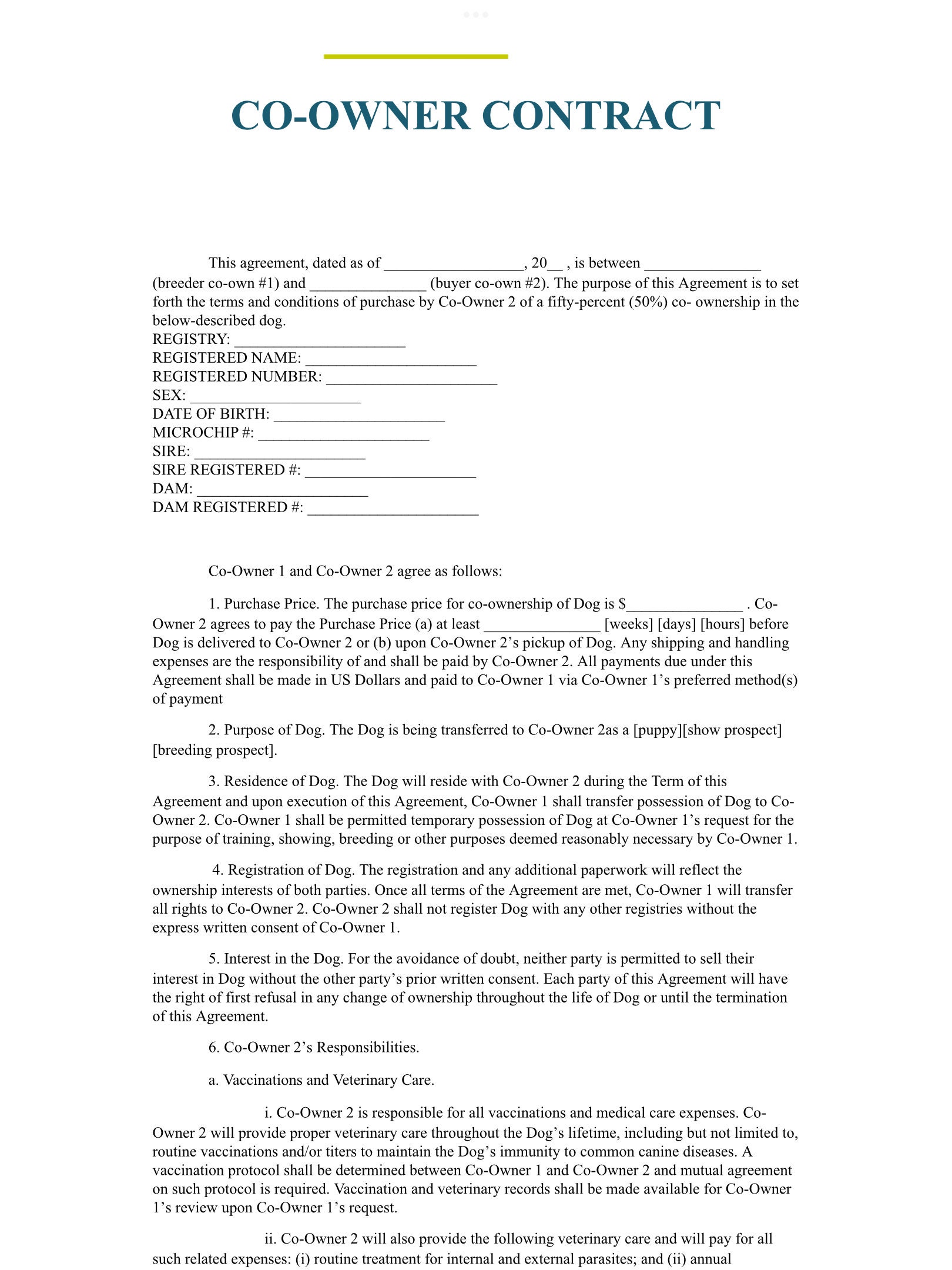
  • Identification of All Parties: Include full legal names, addresses, and contact information for every co-owner.
  • Dog’s Details: Provide the dog’s full name, breed, date of birth, microchip number, registration numbers (if applicable), and any distinguishing features.
  • Ownership Split and Primary Residence: Clearly state the percentage of ownership each party holds and designate the dog’s primary residence. Outline visitation schedules or rotation plans if the dog will split time between homes.
  • Financial Responsibilities: Detail how all expenses will be shared, including veterinary care (routine, emergency, specialist), food, grooming, training, licensing, insurance, and show/competition fees.
  • Decision-Making Authority: Specify who has the final say on crucial decisions such as medical treatments, diet, training methods, spaying/neutering, and whether the dog will be bred.
  • Breeding Rights and Responsibilities: If the dog is being co-owned for breeding purposes, outline specific breeding terms, conditions for health testing, stud fees, litter responsibilities, and ownership of offspring.
  • Emergency Protocols: Define procedures for medical emergencies, including preferred veterinary clinics and who to contact in urgent situations.
  • Dispute Resolution: Establish a clear process for resolving disagreements, such as mediation or arbitration, before resorting to legal action.
  • Termination or Dissolution of Agreement: Outline conditions under which the agreement can be terminated, including buy-out clauses, transfer of ownership, or death of a party, ensuring a fair exit strategy.
  • Spay/Neuter Clauses: If not for breeding, include clear terms for when the dog will be spayed or neutered and who is responsible for the cost.

Creating a carefully crafted dog co-ownership contract is truly an investment in the relationship between all parties and, most importantly, in the long-term well-being and stability of the dog. It acts as a comprehensive roadmap, guiding co-owners through the joyous journey of sharing a pet while proactively addressing potential challenges. This detailed foresight ensures a harmonious environment for everyone involved, reducing stress and enhancing the shared experience.

We highly recommend consulting with a legal professional to review your contract. They can offer tailored advice to suit your specific circumstances and local laws, ensuring that your agreement is not only fair and comprehensive but also legally binding. This professional input provides an extra layer of security, paving the way for a successful and fulfilling co-ownership adventure.